游戏百科
懂考博的小锦鲤的文章
福州大学2026年博士研究生拟录取名单(第一
2026-01-13 08:36
懂考博的小锦鲤
福州大学2026年博士研究生拟录取名单(第一
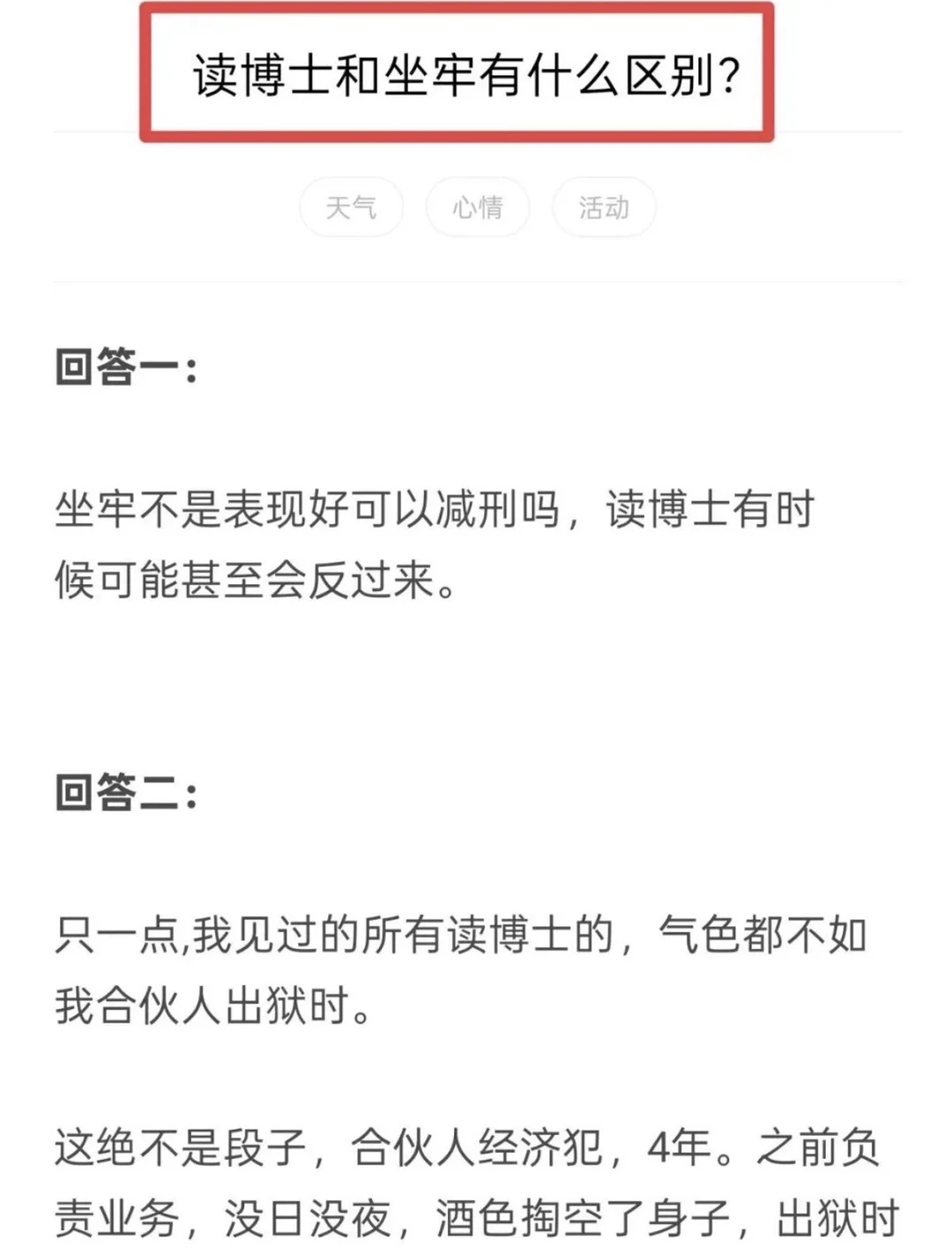
读博士和坐牢有什么区别?
2026-01-12 16:11
懂考博的小锦鲤
读博士和坐牢有什么区别?
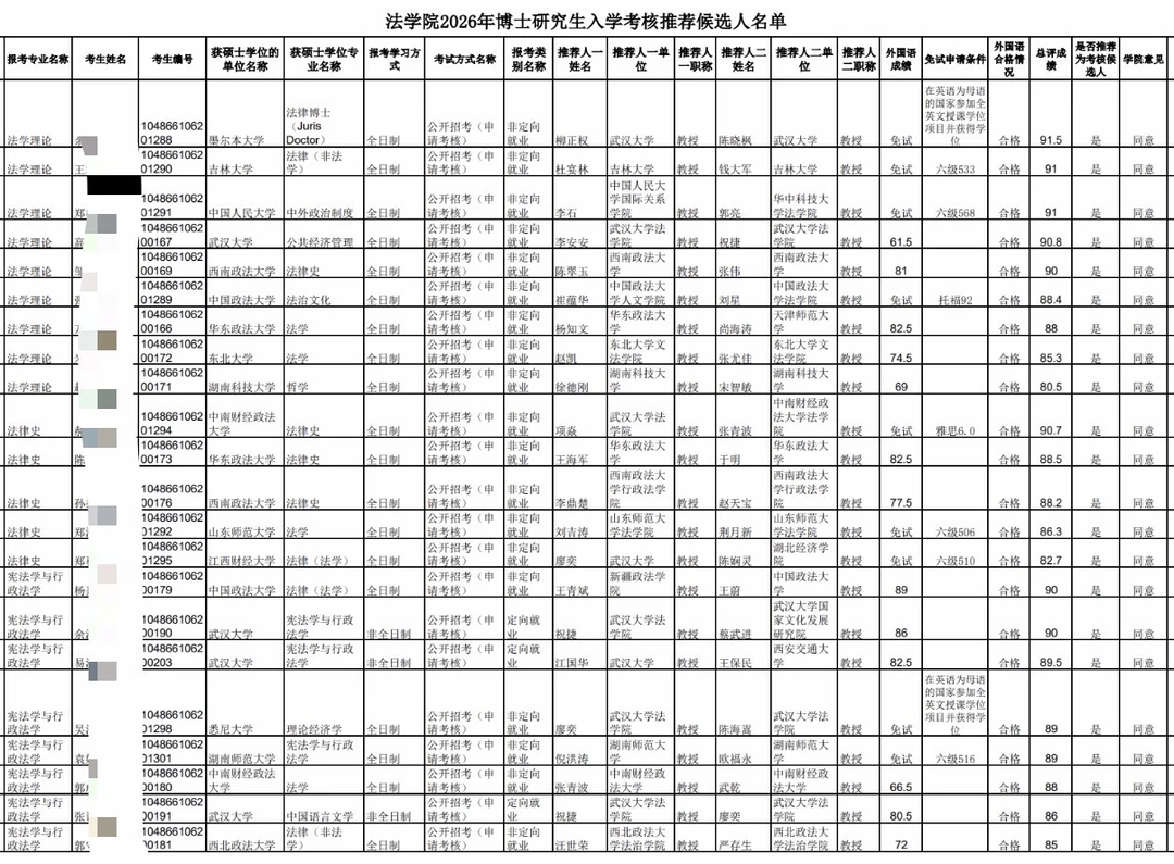
武汉大学2026博士法学院资格审核通过名单
2026-01-12 11:10
懂考博的小锦鲤
武汉大学2026博士法学院资格审核通过名单
95 后占主流!30 岁以下占比 30%! 太原理工
2026-01-11 21:12
懂考博的小锦鲤
95 后占主流!30 岁以下占比 30%! 太原理工
山东大学文学院2026博士复试成绩公示
2026-01-11 16:41
懂考博的小锦鲤
山东大学文学院2026博士复试成绩公示
厦门大学2026年博士研究生拟录取名单
2026-01-11 11:40
懂考博的小锦鲤
厦门大学2026年博士研究生拟录取名单
拿到博士学位后,我才知道最难的不是科研
2026-01-11 08:22
懂考博的小锦鲤
拿到博士学位后,我才知道最难的不是科研
恭喜!985中山大学拟录取
2026-01-10 14:08
懂考博的小锦鲤
恭喜!985中山大学拟录取
长江大学 2025 年第二十一批人才引进(博士)
2026-01-10 12:20
懂考博的小锦鲤
长江大学 2025 年第二十一批人才引进(博士)
研究预测:“十五五”时期需补充188.2万名高校
2026-01-09 18:32
懂考博的小锦鲤
研究预测:“十五五”时期需补充188.2万名高校
一位德国博士生读博期间明白的一些道理
2026-01-09 15:23
懂考博的小锦鲤
一位德国博士生读博期间明白的一些道理
博士生涯中,诸位是在什么时候开窍的
2026-01-09 11:58
懂考博的小锦鲤
博士生涯中,诸位是在什么时候开窍的
北京航空航天大学招收2026年博士研究生招生
2026-01-09 09:45
懂考博的小锦鲤
北京航空航天大学招收2026年博士研究生招生
安阳师范学院2025年高层次人拟聘人员名单公
2026-01-08 22:49
懂考博的小锦鲤
安阳师范学院2025年高层次人拟聘人员名单公
2026年教育改革:启动“双一流”建设
2026-01-08 18:41
懂考博的小锦鲤
2026年教育改革:启动“双一流”建设
第一页
作者信息
懂考博的小锦鲤
感谢大家的关注
分类: 教育
热门分类
游戏下载
推荐
热榜
军事
NBA
体育
社会
明星八卦
娱乐
财经
科技
汽车
历史
国际
游戏
动漫
公益
搞笑
商业
互联网
数码
国际足球
房产
家居
时尚
科学探索
职场
育儿
股票
教育
影视
情感
热点
中国军情
武器
中国南海
中国足球
亚洲杯
科比
综合体育
CBA
投资
楼市
大咖秀
外汇
创业
风口
SUV
豪车
概念车
优惠
新能源
美国
欧洲
朝日韩
俄罗斯
孕期
街拍
恋爱攻略
婚姻
正能量