游戏百科
福州大学2026年博士研究生拟录取名单(第一
2026-01-14 18:00:44
懂考博的小锦鲤
教育
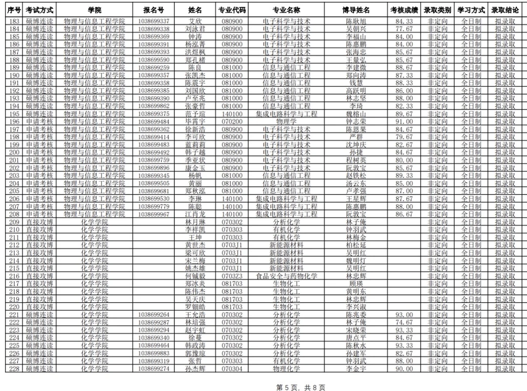
福州大学2026年博士研究生拟录取名单(第一轮)公示按照教育部、省考试院及我校的相关文件精神,根据各学院的复试情况,经审核,现将我校2026年博士研究生第一轮招生拟录取名单予以公示,具体名单见附件。公示时间为2026年1月12日-1月23日
热门分类
游戏下载
推荐
热榜
军事
NBA
体育
社会
明星八卦
娱乐
财经
科技
汽车
历史
国际
游戏
动漫
公益
搞笑
商业
互联网
数码
国际足球
房产
家居
时尚
科学探索
职场
育儿
股票
教育
影视
情感
热点
中国军情
武器
中国南海
中国足球
亚洲杯
科比
综合体育
CBA
投资
楼市
大咖秀
外汇
创业
风口
SUV
豪车
概念车
优惠
新能源
美国
欧洲
朝日韩
俄罗斯
孕期
街拍
恋爱攻略
婚姻
正能量