游戏百科
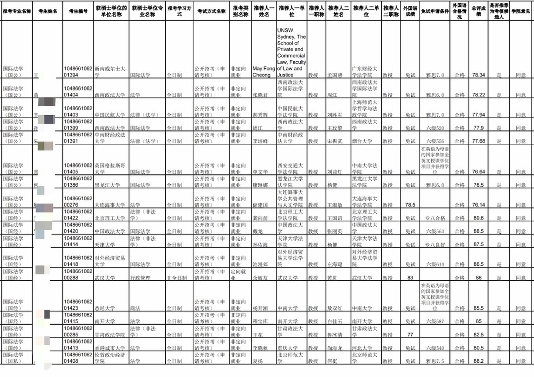
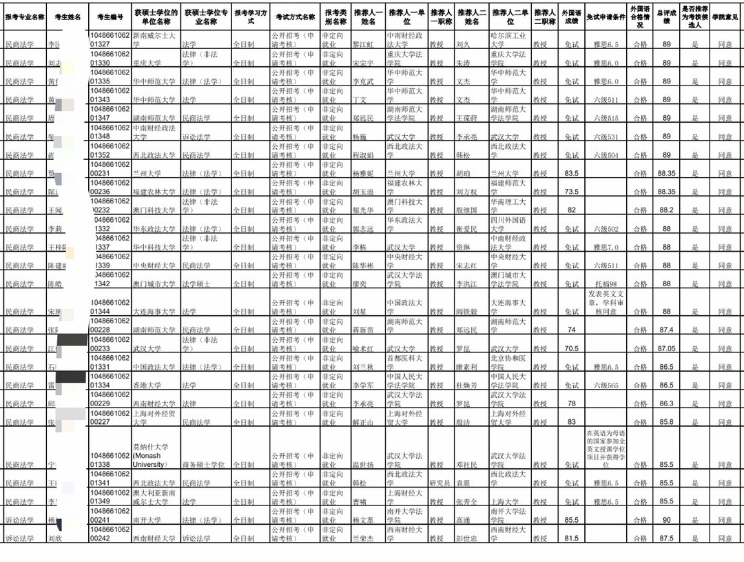
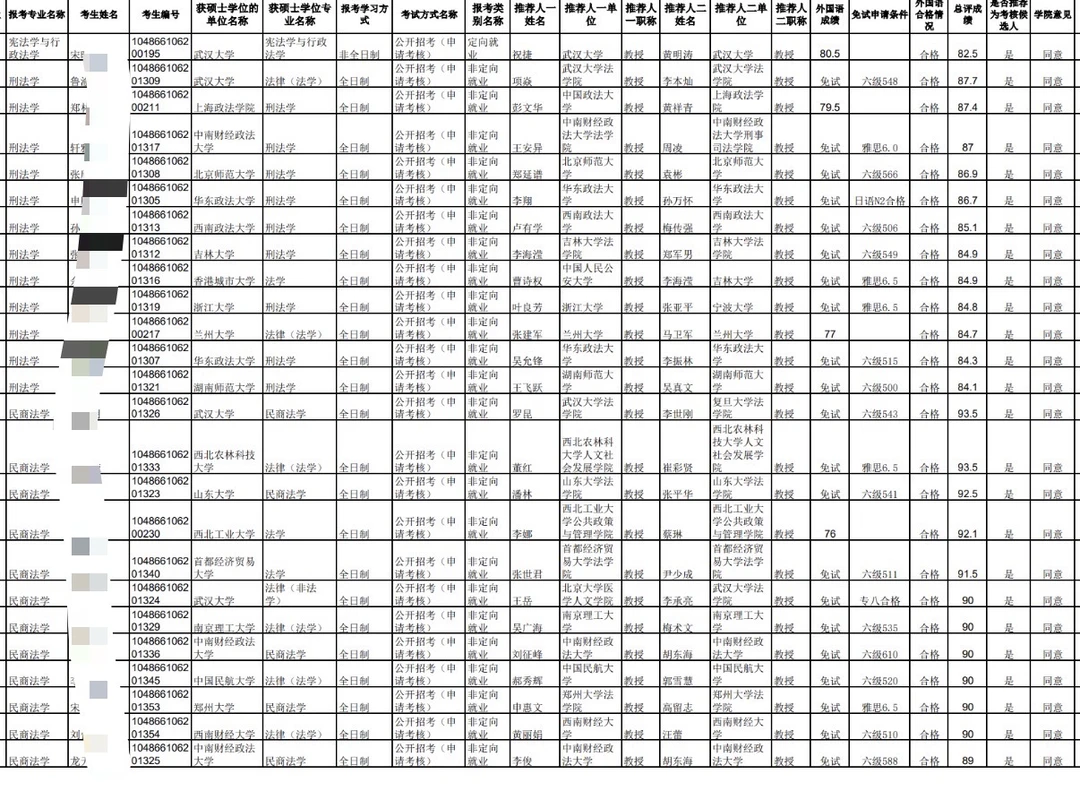
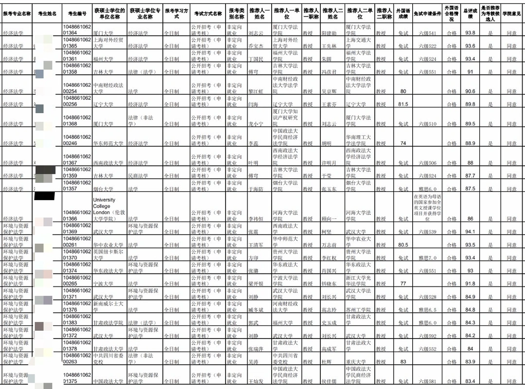
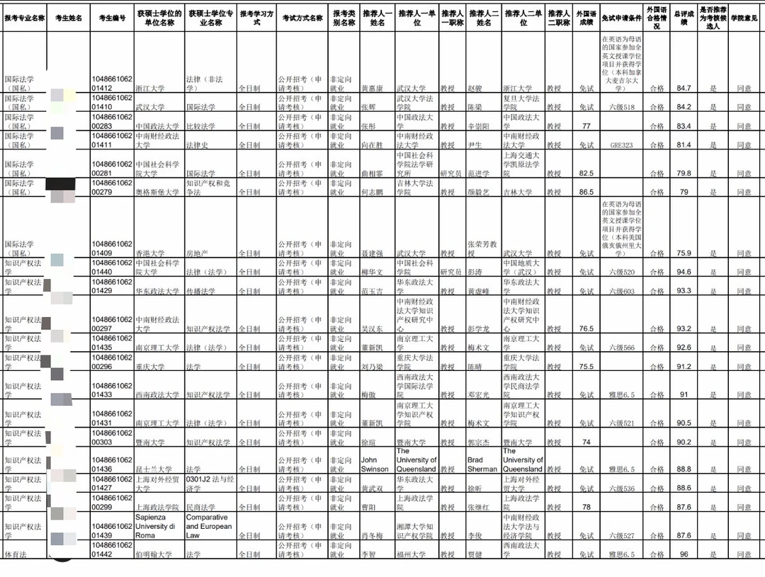
武汉大学2026博士法学院资格审核通过名单
2026-01-13 18:02:08
懂考博的小锦鲤
教育
博士申请考核制 考博 工程类博士 法学 法硕复试 博士录取 法学学硕 法学博士
猜你喜欢
未来的双一流候选者都在表格中,目前全国有147所“双一流”学科高校,教育部明确未
2026-01-14
峥峥魅的中国
标签:
教育部
中国社会科学院大学
中国社会科学院
浙江工业大学
大学
北京大学2026年新引入顶级人才,世界排名第一的麻省理工学院博士后,郑玉,201
2026-01-13
半颗咖啡
标签:
麻省理工学院
博士后
化学
北大
一流大学建设高校
西工大有个叫寇家庆的教授,93年的,才33岁就当上博士生导师了。看到他的履历,我
2026-01-03
清爽云朵
标签:
西北工业大学
导师
朱松纯的实验室空了。这位加州大学的终身教授告诉同事只是回国休个假,一个月后,北
2026-01-02
我要写头条养你
标签:
朱松纯
加利福尼亚大学
大学
41岁的武汉大学副教授易中天递交完辞职信,头也不回地走了:“在这里待11年,连个
2026-01-14
祺然共知识
标签:
易中天
武汉大学
大学
武汉大学历史系的副教授,教了十几年书,一直评不上教授,只好辞职,到了厦门大学。到
2026-01-14
悠然话史
标签:
厦门大学
武汉大学
易中天
易中天品三国
大学
继闵超之后浙大又被爆出新料,浙大博士生导师张燕飞,本科为高分子材料与工程专业,硕
2026-01-12
诗酒当歌
标签:
浙江大学
慕尼黑大学
导师
大学
中国博士的苦,不只在读博时。有校长直言,不少博士生像“乞丐一样做研究”,月收入仅
2026-01-09
风影无痕
热门分类
游戏下载
推荐
热榜
军事
NBA
体育
社会
明星八卦
娱乐
财经
科技
汽车
历史
国际
游戏
动漫
公益
搞笑
商业
互联网
数码
国际足球
房产
家居
时尚
科学探索
职场
育儿
股票
教育
影视
情感
热点
中国军情
武器
中国南海
中国足球
亚洲杯
科比
综合体育
CBA
投资
楼市
大咖秀
外汇
创业
风口
SUV
豪车
概念车
优惠
新能源
美国
欧洲
朝日韩
俄罗斯
孕期
街拍
恋爱攻略
婚姻
正能量