游戏百科

显微光致发光光谱仪联用冷热台后具备变温PL谱测试需求

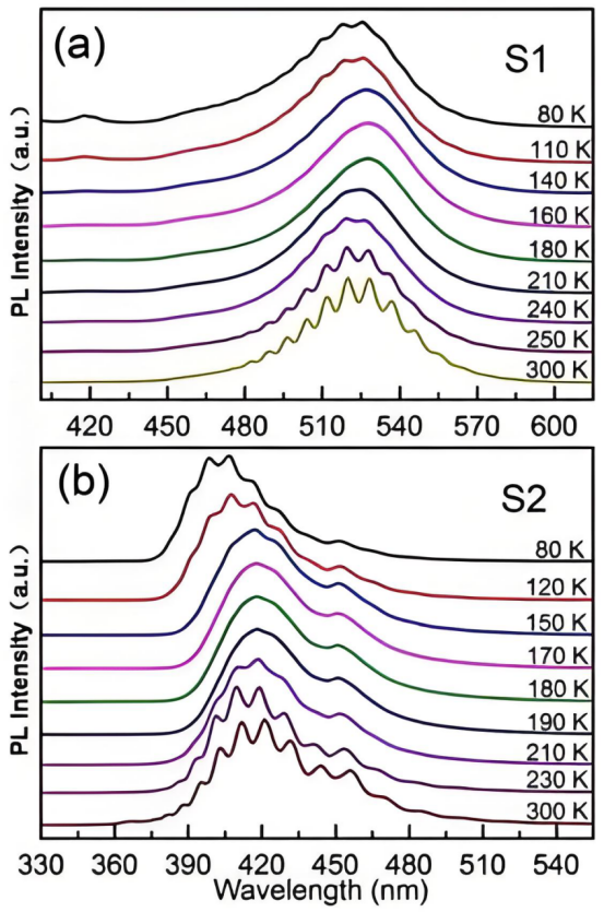
光致发光光谱(PhotoluminescenceSpectroscopy,PL谱)是研究材料光学性质的重要手段之一。材料

光致发光光谱(PhotoluminescenceSpectroscopy,PL谱)是研究材料光学性质的重要手段之一。材料的发光特性往往与温度密切相关,因此,在变温条件下测试PL谱,能够更深入地理解材料的光物理机制,为优化材料性能提供关键依据。

冷热台:精准控温与光学测试的理想工具

冷热台是一种能够提供宽温区(如-196°C至600°C或更高)和高精度温度控制的设备,其小型化、智能化设计使其易于与各类光谱仪联用。此外,冷热台可定制光学路径和样品台,确保在变温测试过程中光信号的稳定采集,满足材料在不同温度下的PL谱测试需求。

应用案例:南开大学FlexOne显微PL系统联用冷热台

南开大学研究团队在原有的FlexOne显微光致发光光谱仪上联用冷热台,成功实现了材料在变温条件下的PL谱测试。通过这一系统,研究人员能够观察材料在不同温度下的发光强度变化,分析温度对激子复合、缺陷发光及能带结构的影响。

冷热台在PL测试中的优势包括:

1.宽温区覆盖:可在极低温(液氮温区)至高温范围内精确控温,研究材料在不同相变或热激发下的发光行为。

2.高温度稳定性:确保测试过程中温度波动极小,避免因温度漂移导致的数据误差。

3.光学兼容性优化:定制化的透光窗口和样品台设计,减少光路干扰,提高信号采集效率。

4.快速升降温:部分冷热台支持快速变温,便于研究材料的动态热响应特性。

结论

冷热台与光致发光光谱仪的联用,为变温PL测试提供了高效、精准的解决方案,极大地拓展了材料光学性质研究的维度。未来,冷热台技术在光电器件、量子材料、生物荧光标记等领域的研究价值将更加凸显。