游戏百科

什么是密度泛函理论?

说明:密度泛函理论(Density Functional Theory, DFT)是一种量子力学计算方法,用于求解多电子

说明:密度泛函理论(Density Functional Theory, DFT)是一种量子力学计算方法,用于求解多电子体系的基态性质。其核心思想是利用电子密度而非复杂的多电子波函数来描述系统,通过Hohenberg-Kohn定理证明电子密度唯一决定体系的能量,Kohn-Sham方程则将多体问题转化为非相互作用电子在有效势中的运动,从而大幅简化计算复杂度。

DFT在材料科学、催化、凝聚态物理和化学等领域广泛应用,可准确预测结构、能带、吸附能等关键性质。

密度泛函理论的定义

密度泛函理论(Density Functional Theory, DFT)是一种基于量子力学原理的计算方法,用于研究多电子体系的基态性质,其核心思想是用电子密度分布函数ρ(r)而非波函数来描述体系的物理特性。

这一理论由Hohenberg和Kohn于1964年奠基,他们证明:体系基态电子密度与外势场(如原子核产生的势场)存在一一对应关系,且体系能量可表示为电子密度的泛函E[ρ],其最小值对应于基态能量。这一革命性思想将复杂的多体问题简化为单粒子问题,大幅降低了计算复杂度。

理论基础:Hohenberg-Kohn定理与Kohn-Sham方程

Hohenberg-Kohn定理包含两条核心内容:

唯一性定理:体系基态电子密度ρ0(r)唯一确定外势场Vext(r)(除常数外),从而唯一确定所有基态性质。

变分原理:对任意试探密度ρ(r),能量泛函E[ρ]的最小值即为基态能量,且最小值点对应基态密度。

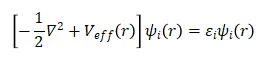
然而,该定理未给出动能泛函T[ρ]的具体形式。为此,Kohn和Sham提出Kohn-Sham方程:通过构造一个虚拟的“非相互作用体系”,其电子密度与真实体系相同,但电子间无相互作用。该体系的单电子薛定谔方程为:

其中有效势Veff(r)=Vext(r)+VH(r)+Vxc(r)包含三部分:

Vext:外势(如原子核库仑势);

VH:Hartree势(电子间经典库仑作用);

Vxc:交换关联势(包含量子交换与关联效应)。

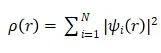
电子密度由单电子波函数构建:

Kohn-Sham方程的巧妙之处在于将多体相互作用全部压缩进交换关联泛函Exc[ρ]中,而Vxc=δExc[ρ]/δρ。该方程需通过自洽场(SCF)迭代求解:初始猜测密度→计算有效势→求解方程→更新密度,直至能量收敛(通常要求ΔE<10< span>-5eV)。

交换关联泛函的近似:LDA与GGA

由于Exc[ρ]的精确形式未知,实际计算依赖近似模型。最常见的两种近似为:

局域密度近似(LDA):假设空间中每点的Exc仅取决于该点的密度ρ(r),形式取自均匀电子气模型。LDA在计算键长时误差约1%,但严重低估结合能(误差达100%)和能垒高度。

广义梯度近似(GGA)是对局域密度近似(LDA)的改进方法,通过引入电子密度的梯度项∇ρ(r)来更好地描述非均匀电子系统。

典型的GGA泛函如PBE,能够显著改善结合能、原子结构和表面能的预测精度,使结合能误差降低至约5%。然而,GGA通常会略微拉长化学键长,并低估束缚强度,显示出对体系结构的“软化”趋势,在分子和材料模拟中需加以注意。

DFT在材料科学中的应用

电子结构与能带分析

以硅晶体为例,通过DFT计算能带结构可揭示其约1.1eV的带隙,直接验证其半导体特性。计算流程包括构建金刚石结构、选用GGA-PBE泛函、自洽场计算电子密度,并沿Γ-X-L等高对称路径绘制能带图,从而准确展现价带与导带的能量分布。

电子密度分布图(如二维材料示例)直观显示电荷空间聚集情况:高密度区对应化学键或原子核位置,低密度区为间隙区域。

DOI:10.3390/s23125631

能带结构图是揭示材料电子性质的核心工具,通过展示电子在动量空间中的能量分布,直观反映导电性与带隙大小。

例如在二维材料中,若价带顶与导带底在同一k点(如Γ点)相遇,则为直接带隙半导体,适合光电应用;若分离则为间接带隙材料。带隙宽度决定了电子跃迁所需能量,进而影响吸收光谱与载流子激发行为。通过能带图,可识别导带、价带走向,判断材料是金属、半导体或绝缘体。

DOI:10.1021/acsami.2c13151

磁性材料与自旋极化

在掺杂黑磷体系(如S掺杂)中,自旋极化计算显示净磁矩0.98μB。磁矩分布图表明:S原子的pz轨道与邻近P原子的py,pz轨道发生自旋劈裂;自旋向上/向下态密度(PDOS)在费米能级附近不对称,导致未配对电子。

类似地,Co-Cu合金簇磁矩分布图显示表面Co原子磁矩高达1.66μB,而内部Cu原子磁矩接近零,揭示磁性源自过渡金属d电子。

金属与绝缘体的电子密度差异

三维电子密度渲染图清晰对比两类体系:

DOI:10.1016/j.jcp.2021.110523

金属:电子密度空间波动小,费米能级处态密度非零,支持电子连续跃迁;

绝缘体:密度呈周期性振荡,带隙区无电子态,电荷局域化明显;

混合体系:兼有金属的连续性与绝缘体的局域特征。

DFT在化学反应机理研究中的可视化

过渡态搜索与反应路径

以α-氰基膦酸酯合成反应为例,该反应历程包括四个主要阶段:首先,反应物硝基苯乙烯与膦酸酯(r1, r2)展现出特定的空间构型,为反应提供了几何基础。随后进入过渡态(ts1, ts2),表现为关键键长和键角的畸变,例如C–N键被拉伸至约1.8 Å,同时虚频振动模式揭示反应坐标及反应路径方向。

接着形成中间体(a1, a3-c),为亚稳态结构,其能量低于过渡态但仍高于产物,代表短暂驻留的结构态。最终产物(bp1, bp2)中,C–P共价键成功形成,硝基官能团发生重排转变为氰基,完成反应过程。

DOI:10.21203/rs.3.rs-3737180/v1

反应能量剖面图

该反应能量剖面图以吉布斯自由能(单位:eV)为纵轴,反应路径为横轴,系统地描绘了从反应物到产物的转化过程。中间体Int-1至Int-7的自由能变化揭示了各个反应步骤的可逆性及热力学稳定性。

其中,关键的决速步骤出现在Int-2转变为过渡态TS1阶段,其能垒高达0.8eV,对整体反应速率具有决定性影响。能垒的高低反映了该步所需的激发能大小,是优化催化剂和反应条件的关键参数之一。

DOI:10.1021/acscatal.3c05635

局限性与发展方向

密度泛函理论(DFT)以Hohenberg-Kohn定理与Kohn-Sham方程为基础,通过将多电子问题简化为单电子有效势,广泛应用于分子与固体的电子结构模拟。

然而,DFT也面临若干固有挑战,包括对强关联体系(如高温超导体与磁性材料)描述不准确、对范德华力处理不足、以及GGA在半导体带隙预测中普遍低估30–50%。

为克服这些局限,当前研究正聚焦于机器学习辅助泛函设计、杂化泛函优化以及结合动力学平均场理论(DMFT)等新方法。不断发展的理论与算法正推动DFT在催化、材料设计和能源研究中的能力边界持续扩展。