白大褂朋友已在线 给女生划个健康重点
🌸【HER2阳性乳腺癌:双靶治疗时代,肥胖仍是隐藏“杀手”?】🌸
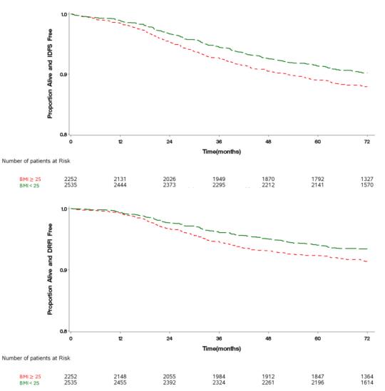
过去也经常讲肥胖与乳腺癌的关系,不仅增加发病概率,也影响着治疗效果。最新发布的APHINITY试验亚组分析(2025年)揭示了双靶治疗时代下,体重管理的重要性!速速收藏👇
---
🔥核心结论:肥胖患者预后更差?
1️⃣ 生存率下降
超重/肥胖(BMI≥25 kg/m²)患者5年无浸润性疾病生存率(iDFS)显著降低,死亡风险升高38%。
👉 对比正常体重患者:
- 5年iDFS:9.5% vs 11.7%
- 远处复发风险:增加32%
- 总死亡风险:增加38%
2️⃣ 化疗耐受性差
肥胖患者化疗中断率更高(14% vs 9%),可能影响疗效。
---
🧬机制解读:为什么肥胖影响双靶疗效?
✅ 脂肪组织的“促癌微环境”
脂肪细胞分泌特殊因子,促进癌细胞增殖。
✅ 药物分布差异
脂肪组织可能影响靶向药分布浓度,降低治疗效率。
---
🩺临床建议:双靶治疗时代如何管理体重?
1️⃣ 全程监测BMI
- 治疗前:BMI≥25 kg/m²需警惕,制定个性化方案。
- 治疗中:每3个月记录体重,关注≥5%波动(可能与代谢异常相关)。
2️⃣ 生活方式干预
- 饮食:低脂高纤维,控制热量(参考地中海饮食)。
- 运动:每周150分钟有氧+2次抗阻训练(如瑜伽、游泳)。
3️⃣ 化疗期间加强支持
- 预防性使用止吐药、升白治疗,减少因副作用导致的体重下降。
---
💊治疗选择:肥胖患者需要更强方案?
✅ 双靶治疗仍是基石
即使肥胖,帕妥珠单抗+曲妥珠单抗+化疗仍是标准方案,可降低32%死亡风险。
✅ 考虑强化治疗
如:根据体重精准调整剂量。
---
📋患者自测小贴士
1️⃣ BMI计算公式:体重(kg)/身高(m)²
- 正常:18.5-24.9 超重:25-29.9 肥胖:≥30
2️⃣ 体重波动预警:
- 治疗后2年内体重增减≥5%需及时就医排查代谢问题。
---
🌟总结
双靶治疗时代,肥胖是HER2阳性乳腺癌患者预后不良的独立危险因素!但别慌,科学管理体重+规范治疗仍可显著改善生存。记住:早筛早治、定期随访、健康生活,是打败乳腺癌的“组合拳”!
📌参考文献:APHINITY试验亚组分析(2025)|
(👩⚕️本文基于最新临床研究,具体治疗方案请遵医嘱哦!)






