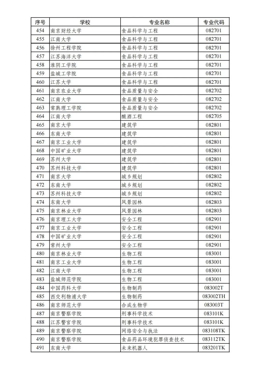
交汇点讯近日,江苏省教育厅公示江苏高校品牌专业建设工程三期项目名单,共658个项目入选。

根据《江苏高水平大学建设方案(2021—2025年)》(苏政发〔2021〕14号)和《省教育厅关于做好江苏高校品牌专业建设工程三期项目实施工作的通知》(苏教高函〔2024〕11号)等文件要求,经学校自主申报、专家审核,拟立项658个江苏高校品牌专业建设工程三期项目,现予公示(具体项目名单见附件)。公示时间为2024年8月16日至8月22日。如有异议,请以书面形式向省教育厅反映,并注明本人的真实姓名、单位和联系方式。联系电话:025-83335556;邮箱:zhurq@ec.js.edu.cn。


















2015年,江苏启动实施“高校品牌专业建设工程”。经学校申报、项目初审、专家评审、综合评审、省政府办公会议研究审定以及向社会公示,共确定一期项目258个。
2021年,按照江苏高校品牌专业建设工程二期项目结合教育部一流本科专业建设“双万计划”,采用省品牌专业对接国家级一流本科专业,省特色专业对接省级一流本科专业方式实施的要求,共遴选出345个省品牌专业项目,199个省特色专业项目。
据悉,江苏高校品牌专业建设工程三期项目聚焦国家重大战略和江苏经济社会高质量发展需求,到2027年,建成一批体现江苏特色、代表一流水平、具有重要影响力的优势专业集群,江苏高校专业体系进一步优化完善,专业建设与经济社会发展需求的匹配度和贡献度明显提升,人才自主培养能力显著提高,形成服务需求、优势突出、结构合理的品牌专业体系,为高标准建设高等教育强省奠定坚实基础,为打造具有全球影响力的产业科技创新中心和因地制宜发展新质生产力提供有力支撑。
在重点任务方面,优化专业结构布局。主动适应国家重大战略和区域经济社会发展需要,引导各类高校明确专业定位、服务面向和发展目标,推进专业优化、调整、升级、换代和新建,提升专业与产业链、创新链、人才链的匹配度;加强教学资源建设。加强高水平课程建设,将最新科技成果融入课程教学内容,并面向经济社会发展需求,重构教学内容,丰富教学手段,提高课程的高阶性、创新性、挑战度。加强优秀教材建设,培育具有全国影响力的高水平优秀教材。加大各类教学实验平台建设投入,为人才培养提供更有力的条件保障;推动教学方式改革。持续改进教学方式、严格教学管理、改革考核评价。鼓励结合专业实际,推进项目式学习、问题驱动学习和合作学习等多元化教学,充分利用人工智能、大数据和新一代网络等先进技术,创新教学方法,构建数字化智能化教学平台,提升学生的学习效果。
新华日报·交汇点记者杨频萍程晓琳