铜陵市2025年“徽动消费乐购铜陵”有奖发票活动
第二期中奖名单公示
铜陵市2025年“徽动消费乐购铜陵”有奖发票活动第二期抽奖已于2025年12月19日举行,经枞阳县公证处公证,现将中奖名单公示如下:
01
特等奖(3名)

02
一等奖(10名)
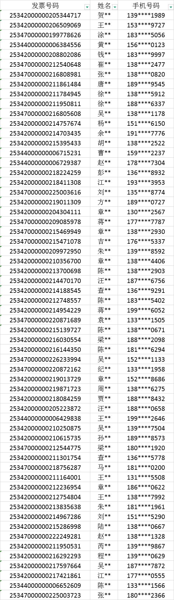
03
二等奖(60名)

04
三等奖(139名)
05
四等奖(178名)

兑奖说明:
•请所有中奖者务必在2025年12月29日前,登录豚云APP或者铜陵台微信公众号有奖发票上传兑奖信息提交资料。
•一等奖和特等奖中奖者接到电话通知后统一办理兑奖手续,兑奖需提供发票原件、支付凭证、身份证原件。
•个税由主办单位代扣代缴;
•逾期未兑奖视为自动放弃。
本公示时间自2025年12月20日开始至2025年12月22日结束。
铜陵市商务局铜陵市财政局国家税务总局铜陵市税务局
2025年12月19日
上传兑奖信息通道

点击上传兑奖信息